第十二讲:图和网络
图和网络
import networkx as nx
import matplotlib.pyplot as plt
%matplotlib inline
dg = nx.DiGraph()
dg.add_edges_from([(1,2), (2,3), (1,3), (1,4), (3,4)])
edge_labels = {(1, 2): 1, (1, 3): 3, (1, 4): 4, (2, 3): 2, (3, 4): 5}
pos = nx.spring_layout(dg)
nx.draw_networkx_edge_labels(dg,pos,edge_labels=edge_labels, font_size=16)
nx.draw_networkx_labels(dg, pos, font_size=20, font_color='w')
nx.draw(dg, pos, node_size=1500, node_color="gray")

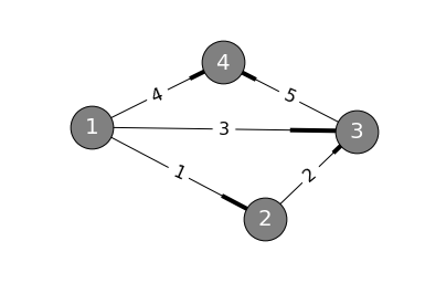
该图由4个节点与5条边组成,
我们可以建立\(5 \times 4\)矩阵 $ A= \begin{bmatrix} -1 & 1 & 0 & 0 \ 0 & -1 & 1 & 0 \ -1 & 0 & 1 & 0 \ -1 & 0 & 0 & 1 \ 0 & 0 & -1 & 1 \ \end{bmatrix} $
观察前三行,易看出这三个行向量线性相关,也就是这三个向量可以形成回路(loop)。
现在,解\(Ax=0\): $ Ax= \begin{bmatrix} -1 & 1 & 0 & 0 \ 0 & -1 & 1 & 0 \ -1 & 0 & 1 & 0 \ -1 & 0 & 0 & 1 \ 0 & 0 & -1 & 1 \ \end{bmatrix} \begin{bmatrix} x_1\x_2\x_3\x_4\ \end{bmatrix} $。
展开得到: \(\begin{bmatrix}x_2-x_1 \\x_3-x_2 \\x_3-x_1 \\x_4-x_1 \\x_4-x_3 \\ \end{bmatrix}=\begin{bmatrix}0\\0\\0\\0\\0\\ \end{bmatrix}\)
引入矩阵的实际意义:将\(x=\begin{bmatrix}x_1 & x_2 & x_3 & x_4\end{bmatrix}\)设为各节点电势(Potential at the Nodes)。
则式子中的诸如\(x_2-x_1\)的元素,可以看做该边上的电势差(Potential Differences)。
容易看出其中一个解\(x=\begin{bmatrix}1\\1\\1\\1\end{bmatrix}\),即等电势情况,此时电势差为\(0\)。
化简\(A\)易得\(rank(A)=3\),所以其零空间维数应为\(n-r=4-3=1\),即\(\begin{bmatrix}1\\1\\1\\1\end{bmatrix}\)就是其零空间的一组基。
其零空间的物理意义为,当电位相等时,不存在电势差,图中无电流。
当我们把图中节点\(4\)接地后,节点\(4\)上的电势为\(0\),此时的 $ A= \begin{bmatrix} -1 & 1 & 0 \ 0 & -1 & 1 \ -1 & 0 & 1 \ -1 & 0 & 0 \ 0 & 0 & -1 \ \end{bmatrix} \(,各列线性无关,\)rank(A)=3$。
现在看看\(A^Ty=0\)(这是应用数学里最常用的式子):
\(A^Ty=0=\begin{bmatrix}-1 & 0 & -1 & -1 & 0 \\1 & -1 & 0 & 0 & 0 \\0 & 1 & 1 & 0 & -1 \\0 & 0 & 0 & 1 & 1 \\ \end{bmatrix}\begin{bmatrix}y_1\\y_2\\y_3\\y_4\\y_5\end{bmatrix}=\begin{bmatrix}0\\0\\0\\0\end{bmatrix}\),对于转置矩阵有\(dim N(A^T)=m-r=5-3=2\)。
接着说上文提到的的电势差,矩阵\(C\)将电势差与电流联系起来,电流与电势差的关系服从欧姆定律:边上的电流值是电势差的倍数,这个倍数就是边的电导(conductance)即电阻(resistance)的倒数。
$ 电势差 \xrightarrow[欧姆定律]{矩阵C} 各边上的电流y_1, y_2, y_3, y_4, y_5 \(,而\)A^Ty=0$的另一个名字叫做“基尔霍夫电流定律”(Kirchoff's Law, 简称KCL)。
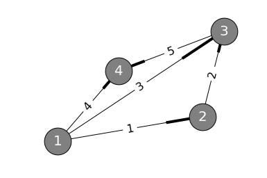
再把图拿下来观察:
import networkx as nx
import matplotlib.pyplot as plt
%matplotlib inline
dg = nx.DiGraph()
dg.add_edges_from([(1,2), (2,3), (1,3), (1,4), (3,4)])
edge_labels = {(1, 2): 1, (1, 3): 3, (1, 4): 4, (2, 3): 2, (3, 4): 5}
pos = nx.spring_layout(dg)
nx.draw_networkx_edge_labels(dg,pos,edge_labels=edge_labels, font_size=16)
nx.draw_networkx_labels(dg, pos, font_size=20, font_color='w')
nx.draw(dg, pos, node_size=1500, node_color="gray")

将\(A^Ty=0\)中的方程列出来: $ \left{ \begin{aligned} y_1 + y_3 + y_4 &= 0 \ y_1 - y_2 &= 0 \ y_2 + y_3 - y_5 &= 0 \ y_4 - y_5 &= 0 \ \end{aligned} \right. $
对比看\(A^Ty=0\)的第一个方程,\(-y_1-y_3-y_4=0\),可以看出这个方程是关于节点\(1\)上的电流的,方程指出节点\(1\)上的电流和为零,基尔霍夫定律是一个平衡方程、守恒定律,它说明了流入等于流出,电荷不会在节点上累积。
对于\(A^T\),有上文得出其零空间的维数是\(2\),则零空间的基应该有两个向量。
- 现在假设\(y_1=1\),也就是令\(1\)安培的电流在边\(1\)上流动;
- 由图看出\(y_2\)也应该为\(1\);
- 再令\(y_3=-1\),也就是让\(1\)安培的电流流回节点\(1\);
- 令\(y_4=y_5=0\);
得到一个符合KCL的向量\(\begin{bmatrix}1\\1\\-1\\0\\0\end{bmatrix}\),代回方程组发现此向量即为一个解,这个解发生在节点\(1,2,3\)组成的回路中,该解即为零空间的一个基。
根据上一个基的经验,可以利用\(1,3,4\)组成的节点求另一个基:
- 令\(y_1=y_2=0\);
- 令\(y_3=1\);
- 由图得\(y_5=1\);
- 令\(y_4=-1\);
得到令一个符合KCL的向量\(\begin{bmatrix}0\\0\\1\\-1\\1\end{bmatrix}\),代回方程可知此为另一个解。
则\(N(A^T)\)的一组基为\(\begin{bmatrix}1\\1\\-1\\0\\0\end{bmatrix}\quad\begin{bmatrix}0\\0\\1\\-1\\1\end{bmatrix}\)。
看图,利用节点\(1,2,3,4\)组成的大回路(即边\(1,2,5,4\)):
- 令\(y_3=0\);
- 令\(y_1=1\);
- 则由图得\(y_2=1, y_5=1, y_4=-1\);
得到符合KCL的向量\(\begin{bmatrix}1\\1\\0\\-1\\1\end{bmatrix}\),易看出此向量为求得的两个基之和。
接下来观察\(A\)的行空间,即\(A^T\)的列空间,方便起见我们直接计算 $ A^T= \begin{bmatrix} -1 & 0 & -1 & -1 & 0 \ 1 & -1 & 0 & 0 & 0 \ 0 & 1 & 1 & 0 & -1 \ 0 & 0 & 0 & 1 & 1 \ \end{bmatrix} $ 的列空间。
易从基的第一个向量看出前三列\(A^T\)的线性相关,则\(A^T\)的主列为第\(1,2,4\)列,对应在图中就是边\(1,2,4\),可以发现这三条边没有组成回路,则在这里可以说线性无关等价于没有回路。由\(4\)个节点与\(3\)条边组成的图没有回路,就表明\(A^T\)的对应列向量线性无关,也就是节点数减一(\(rank=nodes-1\))条边线性无关。另外,没有回路的图也叫作树(Tree)。
再看左零空间的维数公式:\(dim N(A^T)=m-r\),左零空间的维数就是相互无关的回路的数量,于是得到\(loops=edges-(nodes-1)\),整理得:
此等式对任何图均有效,任何图都有此拓扑性质,这就是著名的欧拉公式(Euler's Formula)。\(零维(节点)-一维(边)+二维(回路)=1\)便于记忆。
总结:
- 将电势记为\(e\),则在引入电势的第一步中,有\(e=Ax\);
- 电势差导致电流产生,\(y=Ce\);
- 电流满足基尔霍夫定律方程,\(A^Ty=0\);
这些是在无电源情况下的方程。
电源可以通过:在边上加电池(电压源),或在节点上加外部电流 两种方式接入。
如果在边上加电池,会体现在\(e=Ax\)中;如果在节点上加电流,会体现在\(A^Ty=f\)中,\(f\)向量就是外部电流。
将以上三个等式连起来得到\(A^TCAx=f\)。另外,最后一个方程是一个平衡方程,还需要注意的是,方程仅描述平衡状态,方程并不考虑时间。最后,\(A^TA\)是一个对称矩阵。
